لوله ونت فاضلاب: راز تخلیه سریع و راهکار مهندسی رفع بوی بد

آیا تا به حال برایتان پیش آمده که با وجود فنر زدن‌های مکرر، باز هم مشکل تخلیه کند فاضلاب یا بوی بد توالت و آشپزخانه حل نشود؟ بسیاری از افراد تصور می‌کنند لوله بازکنی فقط به معنای خارج کردن مو یا چربی از مسیر لوله‌هاست؛ اما حقیقت این است که بخش بزرگی از مشکلات سیستم سبکه فاضلاب، نه به خاطر اشیاء فیزیکی، بلکه به دلیل اختلال در فیزیک جریان و نبود «هوا» در سیستم است.

نیاز به خدمات فوری لوله‌بازکنی دارید؟

همین حالا تماس بگیرید تا متخصصین ما در کمتر از ۳۰ دقیقه در محل شما حاضر شوند.

درخواست اعزام فوری ۰۹۱۲-۴۶۲-۲۰۶۰

در این مقاله تخصصی از سایت بازکنی، قصد داریم به عمق دنیای هیدرولیک ساختمان برویم و بررسی کنیم که چرا لوله ونت (Vent) یا همان هواکش فاضلاب، قهرمان گمنام ساختمان شماست و چگونه نبود آن باعث گرفتگی‌های کاذب می‌شود.

سیستم ونت

فیزیک جریان دوفازی: وقتی آب و هوا با هم می‌جنگند!

در مهندسی سیالات، فاضلاب یک جریان ساده نیست؛ بلکه یک جریان دوفازی (مایع و گاز) است. لوله‌های فاضلاب بر خلاف لوله‌های آب مصرفی، هرگز نباید کاملاً پر از آب باشند.

چرا لوله‌ها به هوا نیاز دارند؟

وقتی شما فلاش‌تانک را می‌زنید، حجم زیادی از آب وارد لوله عمودی (رایزر) می‌شود. این آب در مسیر حرکت خود مانند یک پیستون عمل می‌کند.

  1. در پشت جریان (بالادست): خلاء ایجاد می‌شود (فشار منفی). اگر هوای تازه وارد نشود، این مکش آنقدر قوی می‌شود که آب داخل سیفون‌ها (شترگلو) را می‌مکد.
  2. در جلوی جریان (پایین‌دست): هوا فشرده می‌شود (فشار مثبت). اگر راهی برای خروج این هوای فشرده نباشد، مانند یک فنر در مقابل حرکت آب مقاومت کرده و باعث می‌شود فاضلاب به کندی تخلیه شود.

جریان دو فازی

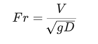
عدد فرود (Fr): معیار طلایی خودتهویه‌ای

در لوله‌های افقی، برای اینکه جریان به صورت خودکار تهویه شود و نیاز به ونت کمتری داشته باشد، سرعت جریان باید کنترل شود. مهندسان از فرمول عدد فرود استفاده می‌کنند:

عدد فرود
  • اگر Fr < 0.3: جریان آرام است و هوا به راحتی از بالای سطح آب عبور می‌کند.
  • اگر Fr > 0.3: تلاطم زیاد شده و لوله دچار خفگی می‌شود؛ اینجاست که نقش تیم لوله بازکنی تخصصی برای بررسی سیستم ونت حیاتی می‌شود.

تاثیر ونت بر جریان فاضلاب

پارادوکس سرعت: آیا ونت تخلیه را کند می‌کند؟

یک باور غلط در میان برخی از مجریان لوله کشی وجود دارد که فکر می‌کنند حذف ونت باعث مکش قوی‌تر و تخلیه سریع‌تر می‌شود.

اثر سیفونی و خطرات آن

بله، در سیستمی که ونت ندارد، ممکن است آب در لحظه اول با سرعت عجیبی تخلیه شود (به دلیل اثر مکش سرنگی). اما این سرعت مخرب است. چرا؟

  • تخلیه کامل سیفون‌ها: مکش ایجاد شده، آب داخل شترگلو را کاملاً خالی می‌کند. این یعنی سد دفاعی در برابر گازهای سمی فاضلاب از بین می‌رود.
  • صدای قُل‌قُل: وقتی هوا راهی برای ورود ندارد، از داخل سینک یا توالت با صدا خارج می‌شود. این اولین نشانه برای تماس با یک سرویس‌کار لوله بازکنی است.

نکته تخصصی: لوله ونت با ثابت نگه داشتن فشار اتمسفریک در کل سیستم، تضمین می‌کند که تخلیه نه با “سرعت لحظه‌ای مخرب”، بلکه با “حداکثر دبی پایدار” انجام شود.

ونت چیست

تحلیل استانداردهای جهانی (IPC در برابر BS EN)

ما در سایت بازکنی همواره طبق استانداردهای روز دنیا عمل می‌کنیم. دو استاندارد اصلی در طراحی ونت عبارتند از:

ویژگیاستاندارد IPC (آمریکا)استاندارد BS EN 12056 (اروپا)
مبنای طراحیواحد ثابت زهکشی (DFU)ضریب پرشدگی لوله
سایزینگحداقل ۱.۲۵ اینچبر اساس دبی حجمی (Q)
فلسفهجلوگیری از افت فشار بیش از ۲۵۰ پاسکالمدیریت لایه‌های جریان (نیمه‌پر یا تمام‌پر)

طبق کد بین‌المللی لوله‌کشی (IPC)، قطر لوله ونت هرگز نباید کمتر از نصف قطر لوله فاضلابی باشد که به آن متصل است. رعایت نکردن این نکته در ساختمان‌های نوساز، عامل اصلی گرفتگی‌های مکرر فاضلاب در آینده است.

ونت

پدیده «پرش هیدرولیکی» و فوران فاضلاب در طبقات پایین

یکی از عجیب‌ترین حوادثی که تیم‌های لوله بازکنی با آن مواجه می‌شوند، فوران فاضلاب از توالت طبقه اول است، در حالی که هیچ گرفتگی در لوله وجود ندارد!

این پدیده پرش هیدرولیکی (Hydraulic Jump) نام دارد. وقتی فاضلاب با سرعت از ارتفاع سقوط می‌کند و به بخش افقی می‌رسد، ناگهان سرعتش کم شده و سطح مقطع لوله را کاملاً پر می‌کند. این اتفاق باعث حبس شدن هوا و ایجاد یک موج فشار مثبت شدید می‌شود. اگر «ونت کمکی» در پایه رایزر وجود نداشته باشد، این فشار هوا، فاضلاب را از نزدیک‌ترین مخرج (معمولاً توالت طبقه اول) به بیرون پرتاب می‌کند.

فاضلاب با ونت و بدون ونت

تکنولوژی‌های نوین در رفع مشکلات تهویه

گاهی در ساختمان‌های قدیمی یا به دلیل محدودیت‌های معماری، امکان لوله‌کشی ونت تا پشت‌بام وجود ندارد. در این شرایط، ما از راهکارهای مدرن استفاده می‌کنیم:

شیرهای ورود هوا (AAV)

این شیرها (Air Admittance Valves) که به ونت مکانیکی معروف هستند، فقط اجازه ورود هوا به لوله را می‌دهند و از خروج بو جلوگیری می‌کنند.

  • مزیت: حذف لوله‌کشی‌های اضافی در سقف.
  • محدودیت: AAVها فقط فشار منفی را خنثی می‌کنند و در برابر فشار مثبت (پرش هیدرولیکی) کارایی ندارند.

دستگاه P.A.P.A (تضعیف‌کننده فشار)

در برج‌های بلندمرتبه، از دستگاه‌های مخصوصی استفاده می‌شود که مانند کیسه هوای ماشین، ضربات فشاری ناشی از سقوط فاضلاب را جذب می‌کنند تا به سیفون‌ها آسیبی نرسد.

سیستم ونت

ارتباط مستقیم نقص ونت با بیماری‌های ویروسی (درس‌های کرونا و سارس)

شاید تعجب کنید، اما سیستم ونت ضعیف می‌تواند شما را بیمار کند. تحقیقات در مجتمع Amoy Gardens نشان داد که در زمان شیوع سارس، ویروس از طریق سیستم فاضلاب و لوله‌های ونت ناقص جابه‌جا می‌شد.

وقتی سیفون به دلیل فشار نامتعادل خشک می‌شود، ذرات ریز آلوده (Aerosols) از اعماق چاه به فضای خانه مکیده می‌شوند. بنابراین، رفع گرفتگی لوله ونت و اطمینان از سلامت سیفون‌ها، یک اقدام بهداشتی حیاتی است.

راهنمای عیب‌یابی: از کجا بفهمیم سیستم ونت ما مشکل دارد؟

اگر با هر یک از علائم زیر روبرو شدید، مشکل شما با محلول‌های لوله بازکن خانگی حل نمی‌شود و نیاز به بررسی فنی دارید:

  1. صدای قُل‌قُل: وقتی توالت را می‌کشید، از سینک آشپزخانه صدا می‌آید.
  2. بوی نامطبوع دائمی: حتی بعد از شستن لوله‌ها، بوی فاضلاب قطع نمی‌شود (نشانه شکستن آب‌بند سیفون).
  3. تخلیه کند و متناوب: آب ابتدا جمع می‌شود، سپس با یک مکش ناگهانی و صدا پایین می‌رود.
  4. نوسان سطح آب: سطح آب توالت فرنگی بدون دلیل بالا و پایین می‌رود.

فاضلاب بدون سیستم ونت

چرا برای رفع این مشکلات باید با «بازکنی» تماس بگیرید؟

ما در مجموعه بازکنی، با درک دقیق فیزیک جریان‌های دوفازی و معادلات هیدرولیکی، فراتر از یک لوله بازکنی ساده عمل می‌کنیم. تیم‌های متخصص ما مجهز به تجهیزات پیشرفته‌ای هستند که می‌توانند مشکلات ناشی از فشار هوا، نقص در سیستم ونت و گرفتگی‌های سخت را شناسایی و به صورت ریشه‌ای حل کنند.

مزایای خدمات ما:

  • تشخیص دقیق: تفکیک گرفتگی فیزیکی از اختلالات فشاری.
  • استفاده از ابزار مدرن: فنرهای فولادی، دستگاه‌های تراکم هوا و دوربین‌های بازرسی لوله.
  • ضمانت بهداشت: جلوگیری از انتشار گازهای سمی و آلودگی‌های ویروسی در محیط منزل.
  • سرویس‌دهی سریع: اعزام نزدیک‌ترین متخصص لوله بازکن به محل شما در کمترین زمان.

تاثیر ونت روی سیفون

آیا سیستم فاضلاب ساختمان شما هم صدای عجیبی می‌دهد یا بوی نامطبوعی دارد؟ همین حالا با کارشناسان ما در بازکنی تماس بگیرید تا با یک بررسی تخصصی، آرامش و سلامت را به خانه شما بازگردانیم.

سوالی دارید؟ یا نیاز به مشاوره فوری دارید؟

0912 462 2060